Beranda
/ Sebuah Prisma Alasnya Berbentuk Belah Ketupat Dengan Panjang Diagonal 16 Cm Dan 12 Cm Luas Permukaan Prisma Tersebut Jika Tingginya 12 Cm - Rumus Prisma Belah Ketupat Volume Siswapelajar Com - Tentukan tinggi prisma jika luas permukaannya adalah 672 cm².
Sebuah Prisma Alasnya Berbentuk Belah Ketupat Dengan Panjang Diagonal 16 Cm Dan 12 Cm Luas Permukaan Prisma Tersebut Jika Tingginya 12 Cm - Rumus Prisma Belah Ketupat Volume Siswapelajar Com - Tentukan tinggi prisma jika luas permukaannya adalah 672 cm².
Sebuah Prisma Alasnya Berbentuk Belah Ketupat Dengan Panjang Diagonal 16 Cm Dan 12 Cm Luas Permukaan Prisma Tersebut Jika Tingginya 12 Cm - Rumus Prisma Belah Ketupat Volume Siswapelajar Com - Tentukan tinggi prisma jika luas permukaannya adalah 672 cm².. Sebuah prisma alasnya berbentuk belah ketupat dengan panjang diagonal alas 12 cm dan 16 cm. Inilah pembahasan terkait sebuah prisma alasnya berbentuk belah ketupat dengan panjang diagonal 16 cm dan 12 cm yang dapat kami bagikan. Alas sebuah prisma berbentuk belah ketupat dengan panjang diagonal 16 cm dan 20 cm.jika tinggi prisma tersebut tingginya 24 cm.volum prisma tersebut adalah…. Jika tinggi prisma 12 cm, maka volumenya adalah. 750 cm3 3.sebuah prisma tegak alasnya berbentuk belah ketupat dengan diagonal 18 cm dan 24 cm.
Sebuah prisma alasnya berbentuk segitiga siku siku dengan panjang sisi 6 cm 8 cm serta 10 cm dan tinggi prisma tersebut adalah 12 cm. Alas nya = 10 cm; Tentukan tinggi prisma jika luas permukaannya adalah 672 cm² jawab: Sebuah prisma alasnya berbentuk belah ketupat dengan panjang diagonal alas 12 cm dan 16 cm. Sebuah prisma alasnya berbentuk belah ketupat dengan panjang diagonal 16 cm dan 12 cm seputar bentuk
Sebuah Prisma Alasnya Berbentuk Belah Ketupat Dengan Panjang Diagonal 16 Cm Dan 12 Cm Luas Brainly Co Id from id-static.z-dn.net Sebuah prisma alasnya berbentuk belah ketupat dengan panjang diagonal 16cm dan 12 cm. Tinggi limas adalah 18 cm. Jika tinggi prisma 20 cm, tentukan luas permukaan prisma! Sebuah prisma alasnya berbentuk segitiga siku siku dengan panjang sisi 6 cm 8 cm serta 10 cm dan tinggi prisma tersebut adalah 12 cm. Luas permukaan prisma tersebut jika tingginya 12 cm adalah. Luas permukaan prisma tersebut adalah …. 750 cm3 3.sebuah prisma tegak alasnya berbentuk belah ketupat dengan diagonal 18 cm dan 24 cm. Sebuah prisma tegak alasnya berbentuk belah ketupat dengan panjang diagonal 8 cm dan 6 cm jika luas brainly co id from brainlycoid.
Jika diketahui ij = 6 cm dan ag = 10√3 cm, tentukan luas permukaan prisma segi enam beraturan diatas!
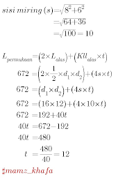
Inilah pembahasan terkait sebuah prisma alasnya berbentuk belah ketupat dengan panjang diagonal 16 cm dan 12 cm yang dapat kami bagikan. Sebuah prisma alasnya berbentuk belah ketupat dengan panjang diagonal 16cm dan 12 cm. 2 (luas alas ) + ( kliling alas x t) = 672. Jika tinggi prisma 30 cm, maka volume prisma tersebut adalah …. Gambar di samping menunjukkan sebuah prisma. 2 ( 96 ) + (40 x t) = 672. Sebuah prisma tegak alasnya berbentuk belahketupat dengan panjang diagonal 12 cm dan 16 cm. Sebuah prisma tegak, alas berbentuk belahketupat dengan panjang diagonal 12 cm dan 16 cm. Jika luas permukaan prisma 852 cm2, maka volumenya adalah. Tentukan tinggi prisma jika luas permukaannya adalah 672 cm². 3.600 cm³ 15.alas sebuah prisma berbentuk belah ketupat dengan diagonal d1 dan d2. Jika tinggi prisma 18 cm, hitunglah panjang sisi belah ketupat, luas alas prisma dan luas permukaan prisma! 750 cm3 3.sebuah prisma tegak alasnya berbentuk belah ketupat dengan diagonal 18 cm dan 24 cm.
$\begin{align} l_a &= \dfrac12.12.5\\ &= 30\\ \\ v &= l_a \times t\\ &= 30 \times 20\\ &= 600\ cm^3\\ \end{align}$ jawab: Luas permukaan prisma = 672. Luas permukaan prisma tersebut jika tingginya 12 cm adalah. 2 ( 96 ) + (40 x t) = 672. Jika tinggi prisma 12 cm, maka volumenya adalah.
1 Volume Prisma Dengan L Descubre Como Resolverlo En Qanda from thumb-m.mathpresso.io Luas permukaan prisma tersebut jika tingginya 12 cm adalah. Jika luas sisi tegak prisma 160 cm2 maka volume prisma adalah. Jika tinggi prisma 20 cm, hitunglah luas permukaan prisma tersebut ! Alas nya = 10 cm; 750 cm3 3.sebuah prisma tegak alasnya berbentuk belah ketupat dengan diagonal 18 cm dan 24 cm. Suatu balok memiliki luas permukaan 516 cm?. 2 (luas alas ) + ( kliling alas x t) = 672. Gunakan rumus prisma v olume:
Sebuah prisma dengan alas berbentuk belah ketupat yang kelilingnya 68 cm dan panjang salah satu diagonalnya 16 cm.
Tinggi limas adalah 18 cm. 2 ( 16 x 12 : Alas sebuah prisma berbentuk belah ketupat dengan panjang diagonal 16 cm dan 20 cm.jika tinggi prisma tersebut tingginya 24 cm.volum prisma tersebut adalah…. 192 + 40 t = 672. Jika diketahui ij = 6 cm dan ag = 10√3 cm, tentukan luas permukaan prisma segi enam beraturan diatas! Sebuah prisma tegak, alas berbentuk belahketupat dengan panjang diagonal 12 cm dan 16 cm. Luas permukaan prisma tersebut adalah …. Gambar di samping menunjukkan sebuah prisma. Jika tinggi prisma 12 cm, maka volumenya adalah. Jika luas seluruh permukaan prisma 392 cm 2, volum prisma adalah…. Jika tinggi prisma 25 cm, maka luas permukaan prisma adalah … a. 3.600 cm³ 15.alas sebuah prisma berbentuk belah ketupat dengan diagonal d1 dan d2. Luas permukaan prisma = (2 x luas belah ketupat) + (keliling belah ketupat x tinggi prisma)
Alas sebuah prisma berbentuk belah ketupat dengan panjang diagonal 16 cm dan 20 cm.jika tinggi prisma tersebut tingginya 24 cm.volum prisma tersebut adalah…. Jika luas seluruh permukaan prisma 392 cm 2, volum prisma adalah…. $\begin{align} l_a &= \dfrac12.12.5\\ &= 30\\ \\ v &= l_a \times t\\ &= 30 \times 20\\ &= 600\ cm^3\\ \end{align}$ jawab: Luas permukaan prisma belah ketupat buku paket matematika bse 8 smp revisi 2017 uji kompetensi 8 youtube. Sebuah prisma alasnya berbentuk belah ketupat dengan panjang diagonal alas 12cm dan 16cm.
Jawaban Matematika Kelas 8 Ayo Kita Berlatih 8 2 Hal 144 147 Sebuah Prisma Alasnya Berbentuk Jagotutorial from jagotutorial.com Jika luas seluruh permukaan prisma 392 cm 2, volum prisma adalah…. Luas permukaan prisma belah ketupat buku paket matematika bse 8 smp revisi 2017 uji kompetensi 8 youtube. Tentukan tinggi prisma jika luas permukaannya adalah 672 cm². Sebuah prisma alasnya berbentuk belah ketupat dengan panjang diagonal 16 cm dan 12 cm seputar bentuk Dan jika tinggi dari prisma tersebut iyalah setinggi 20 cm, maka carilah berapa luas permukaan dari bangun prisma tersebut? Dan jika tinggi dari prisma tersebut iyalah setinggi 20 cm, maka carilah berapa luas permukaan dari bangun prisma tersebut? 192 + 40 t = 672. Alas sebuah prisma berbentuk belah ketupat dengan panjang diagonal 16 cm dan 20 cm.jika tinggi prisma tersebut tingginya 24 cm.volum prisma tersebut adalah….
2) + ( 4 x 10 x t ) = 672.
750 cm3 3.sebuah prisma tegak alasnya berbentuk belah ketupat dengan diagonal 18 cm dan 24 cm. Luas permukaan prisma tersebut adalah …. Prisma alasnya belah ketupat pj diagonal 16 cm dan 12 cm tentukan prisma luas permukaan nya. Alas nya = 10 cm; Luas permukaan prisma = (2 x luas belah ketupat) + (keliling belah ketupat x tinggi prisma) Tentukan luas permukaan prisma jika diketahui alasnya berbentuk belah ketupat mempunyai panjang diagonal 24 cm dan 10 cm dan tinggi 8 cm ! Dan jika tinggi dari prisma tersebut iyalah setinggi 20 cm, maka carilah berapa luas permukaan dari bangun prisma tersebut? Luas permukaan prisma belah ketupat buku paket matematika bse 8 smp revisi 2017 uji kompetensi 8 youtube. Sebuah prisma alasnya berbentuk segitiga siku siku dengan panjang sisi 6 cm 8 cm serta 10 cm dan tinggi prisma tersebut adalah 12 cm. $\begin{align} l_a &= \dfrac12.12.5\\ &= 30\\ \\ v &= l_a \times t\\ &= 30 \times 20\\ &= 600\ cm^3\\ \end{align}$ jawab: Dan tinggi prisma 12 cm.tentukan. Tentukan tinggi prisma jika luas permukaannya adalah 672 cm². Jika luas seluruh permukaan prisma 392 cm 2, volum prisma adalah….
Berbagi
Posting Komentar
untuk "Sebuah Prisma Alasnya Berbentuk Belah Ketupat Dengan Panjang Diagonal 16 Cm Dan 12 Cm Luas Permukaan Prisma Tersebut Jika Tingginya 12 Cm - Rumus Prisma Belah Ketupat Volume Siswapelajar Com - Tentukan tinggi prisma jika luas permukaannya adalah 672 cm²."
Posting Komentar untuk "Sebuah Prisma Alasnya Berbentuk Belah Ketupat Dengan Panjang Diagonal 16 Cm Dan 12 Cm Luas Permukaan Prisma Tersebut Jika Tingginya 12 Cm - Rumus Prisma Belah Ketupat Volume Siswapelajar Com - Tentukan tinggi prisma jika luas permukaannya adalah 672 cm²."